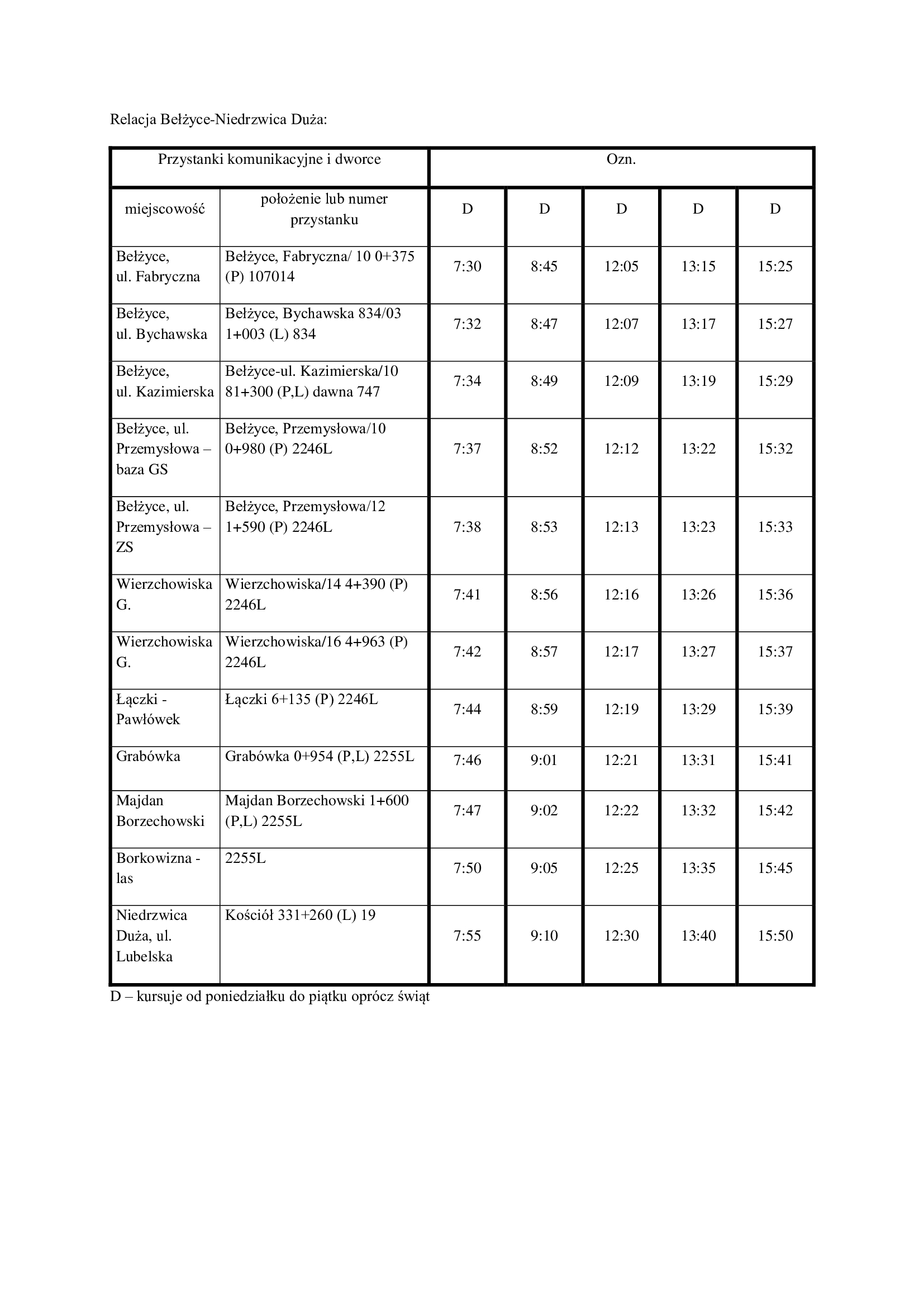
Informujemy, że z dniem 1 października została uruchomiona komunikacja publiczna na trasie Niedrzwica Duża – Łączki – Bełżyce. Organizatorem komunikacji jest Starostwo Powiatowe w Lublinie. Poniżej przedstawiamy obowiązujący rozkład jazdy.


|
Zatrzymaj animacje
Twoja przeglądarka nie obsługuje JavaScript
|
Komunikacja publiczna na trasie Niedrzwica Duża – Łączki – Bełżyce.
Archiwum
Informujemy, że z dniem 1 października została uruchomiona komunikacja publiczna na trasie Niedrzwica Duża – Łączki – Bełżyce. Organizatorem komunikacji jest Starostwo Powiatowe w Lublinie. Poniżej przedstawiamy obowiązujący rozkład jazdy.
|
NajnowszeWybierz element 1 Wybierz element 2 Wybierz element 3 Wybierz element 4 Wybierz element 5 Wybierz element 6 |
|
|
|
|